Fine Beautiful Spm Physics Formula List Not Given

The potential difference across individual resistors can be found from a Displacement-Time Graph.
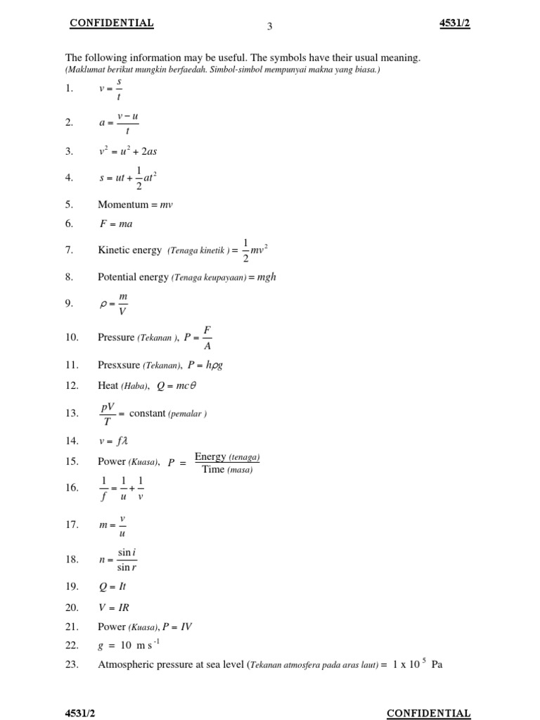
Spm physics formula list not given. ALGEBRA b b 2 4ac 2a m n 2 a a a m n 8 log a b 1 x 9 Tn a n 1d. The Physics Formulae that ARE NOT given. Jump to Page.
List of definition for spm physics chapter 1. Online Library All Formulas Of Physics In Hindi. Search inside document.
SPM AddMath Formula List NOT Given. You are on page 1 of 0. ONE-SCHOOLNET noteshtml explains how Electricity works.
Introduction to Physics No Terms Definition Related Formula SI unit 1 Physics A branch of science centred on the study of matter energy and connection between them. Head on over to my Instagram for close ups of the book. SPM Add Maths The Add Maths Formulae List is Under Construction and will be published soon.
Chemistry and Physics will continue to be set bilingually in English and Malay for SPM 2021 and beyond and all students can still choose to answer in English or Malay. Spm Physics The Physics Formulae That Are Not Given Soothing. A series circuit is equal to the sum of the current in each branches of the circuit.
12 hours ago Delete Reply Block. Spm Physics Formula List Not Given 8x4e0272jgn3. Physics Equation List Form 4 Introduction to Physics Relative Deviation Relative Deviation 100Mean Deviation Mean Value Prefixes Prefixes Value Standard form Symbol Tera 1 000 000 000 000 1012 T Giga 1 000 000 000 109 G Mega 1 000 000 106 M Kilo 1 000 103 k deci 01 10-1 d centi 001 10-2 c milli 0001 10-3 m micro 0000 001 10-6 μ.